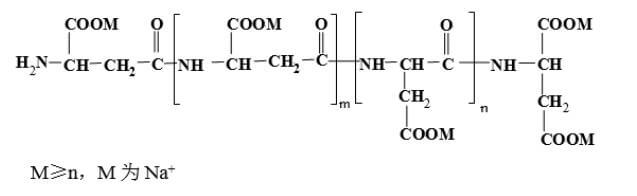
聚天冬氨酸锌-PASP-Zn
一、产品介绍
CAS No. 181828-06-8,34345-47-6,25608-40-6
分子式:C4H5NO3M(C4H4NO3M)m(C4H4NO3M)nC4H4NO3M2
结构式

二、技术指标 符合HG/T3822-2006
| 项目 | 聚天冬氨酸液体 | 聚天冬氨酸固体 |
| 外观 | 黄色至红棕色液体 | 黄色至棕色粉末 |
| 固体含量% | ≥40.0 | ≥96 |
| pH值(1%水溶液) | 9.0~11.0 | <10.5 |
| 密度(20℃)/g·cm-3 | ≥1.20 | N/A |
三、包装与贮存
PASP用塑料桶包装,每桶25kg或250kg,也可根据用户需要确定。PASP贮于室内阴凉处,贮存期十个月。
四、安全与防护
PASP为碱性,操作时注意劳动保护,应避免与皮肤、眼睛等接触,接触后用大量清水冲洗。
欢迎留言