聚天冬氨酸镁-PASP-Mg
一、产品介绍
CAS No. 181828-06-8,25608-40-6
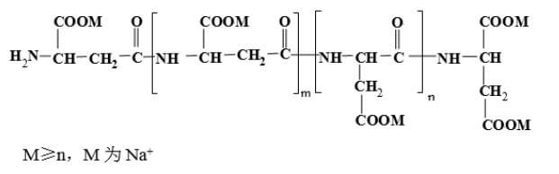
分子式:C4H5NO3M(C4H4NO3M)m(C4H4NO3M)nC4H4NO3M2
结构式

二、技术指标 符合HG/T3822-2006
| 项目 | 聚天冬氨酸液体 | 聚天冬氨酸固体 |
| 外观 | 黄色至红棕色液体 | 黄色至棕色粉末 |
| 固体含量% | ≥40.0 | ≥96 |
| pH值(1%水溶液) | 9.0~11.0 | <10.5 |
| 密度(20℃)/g·cm-3 | ≥1.20 | N/A |
三、包装与储存
本品用塑料桶包装,每桶25Kg或250Kg,固体用牛皮纸袋或纸板桶包装;也可根据用户需要而定,贮存于通风的库房内,贮存期十二个月
四、安全防护
本品应避免与眼睛、皮肤或衣服接触,一旦溅到身上,应立即用大量清水冲洗。
欢迎留言